| ||||||
姓 名: | 韩成友 |
| ||||
职 称: | 讲师 | |||||
导师类别: | 硕导 | |||||
系 室: | 化学系有机教研室 | |||||
研究领域: | 大环化学及超分子聚合物化学、阴离子识别 | |||||
电子邮箱: | hanchengyou@upc.edu.cn | |||||
联系电话: | 18561554378 | |||||
◎教育背景 | ||||||
2004-2008, 浙江大学理学院化学系,理学学士 2008-2013, 浙江大学理学院化学系,博士研究生 | ||||||
◎工作经历 | ||||||
2013-2021, 理学院化学系,讲师 2022-至今, 太阳成集团tyc33455化学系,讲师 | ||||||
◎研究方向 | ||||||
[1]柱芳烃、棱柱芳烃衍生物的制备及其主客体化学研究 大环主体是构建超分子化学的重要基础之一。每一代大环主体化合物的出现不仅会加快超分子化学的发展,还极大的丰富超分子化学内容。2008年,在超分子领域出现了一种新的大环主体——柱芳烃(Figure 1)。柱芳烃具有独特的高度对称的柱状结构,这赋予它许多特殊的性质。丰富多彩的性质使得柱芳烃被用于制备超分子聚合物、纳米管、囊泡和其它有趣的超分子体系。
(a)Side view (b) Top view Figure 1 X-ray crystal structure of Pillar[5]arene 本课题组以柱芳烃作为主体大环分子,开展了一系列研究:合成了醌式大环主体柱芳烃(Figure 2a),并研究了它们与二腈分子的主客体络合性质;发展了柱芳烃独特的新型衍生化方法,即部分氧化环氧化法(Figure 2b)。
(a) (b) Figure 2 (a) pillar[4]arene[1]quinone; (b) pillar[4]arene[1]cis-diepoxy-p-dione 2020年,Carmine Gaeta等人基于2,6-二甲氧基萘,成功制备了一种新的大环主体分子‒棱柱芳烃。这种新的大环是通过三氟乙酸催化的傅克烷基化反应由1,5位亚甲基桥连的2,6-二甲氧基萘组成的,包括棱柱[5]芳烃和棱柱[6]芳烃。本课题组以柱芳烃作为主体大环分子,进一步开展了一系列研究:发展了以2,6二乙氧基-1,5-二甲氧甲基萘为原料,以对甲苯磺酸为催化剂的合成方法,在氯仿中以93%的产率成功得到了二乙氧基棱柱[6]芳烃,同时发现这种大环分子与金刚烷铵四(3,5-二(三氟甲基)苯基)硼酸盐在氯仿中的络合可以通过pH及Cl-/Ag+进行双重调控(Figure 3a);在合成丙基、丁基及异丁基棱柱[6]芳烃作为主体分子的基础上,选择卓鎓阳离子作为客体分子,发现其与棱柱[6]芳烃可以形成电荷转移(CT)络合物,相关吸收带在560 nm。同时,这种电荷转移(CT)络合物具有Cl-/Ag+刺激响应性,为接下来制备基于棱柱芳烃的光电材料奠定了基础(Figure 3b)。
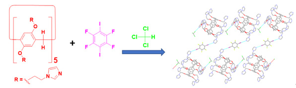
(a) (b) Figure 3 (a) synthesis of prism[6]arene; (b) Cl-/Ag+ responsiveness of P6EtÉG [2]基于柱芳烃超分子聚合物的制备 超分子聚合物是超分子化学和传统的聚合物化学的结合,是由可逆的和定向的非共价相互作用保持在一起的相同或不同种类的单体组成的。在非共价键的响应性和可逆特性的基础上,超分子聚合物表现出独特而有趣的特性,如凝胶和自我修复,并已成为超分子化学和材料科学中最活跃的领域之一。氢键,π-π堆积相互作用,疏水相互作用和金属配体相互作用是四种常见的用于构筑超分子聚合物的非共价键相互作用。现在,作为超分子化学的重要组成部分,主客体之间的相互作用是在构建超分子聚合物中已经变得越来越普遍。 基于柱芳烃的主客体络合及卤键相互作用,本课题组发展了基于柱芳烃三维超分子聚合体系,具体如下:基于柱[5]芳烃/1,4-二咪唑丁烷、柱[6]芳烃/1,4-二叠氮双环[2.2.2]辛烷两种主客体络合体系,在1,4-二碘四氟苯形成的卤键协助下,成功构建了基于主客体络合、卤键及π•••π堆积的三维超分子络合体系(Figure 4a);在全烷基柱[5]芳烃/氯仿主客体络合体系下,加入1,4-二碘四氟苯,构筑了基于主客体络合、卤键及π•••π堆积的三维超分子络合体系(Figure 4b)。
(a) (b) Figure 4 (a) 3D supramolecular polymerizations based on pillar[5,6]arenes; (b) 3D supramolecular polymeric networks using per-imidazole pillar[5]arene. | ||||||
◎科研项目 | ||||||
[1]基于柱芳烃的超分子聚合物研究, 中国博士后科学基金 2014-2016 [2]可降解的超分子聚合物研究,青岛市博士后资助项目 2014-2016 [3] 基于主客体化学的响应性超分子聚合物研究,山东省优秀中青年科学家科研奖励基金 2015-2017 [4] 基于主客体识别的超分子有机骨架结构,国家自然科学基金青年科学基金项目 2016-2018 [5] 两亲性大环的合成、自组装及在细胞凝集中的应用,青岛市科技计划项目 2017-2019 [6] 基于主客体识别的超分子液晶研究,山东省自然科学基金青年基金 2019-2022 | ||||||
◎代表性论文及专利 | ||||||
1.论文 [1] “Supramolecular Polymerization of Pseudo[2]rotaxanes Formation of per-Imidazole Pillar[5]arene based Host‒guest Complexations and Halogen Bonding Interactions”Li, Z.; Cheng, C.; Wang, K.; Zhao, D.*; Meng, Q.*; Han, C.*ChemistrySelect 2024, Accept. [2] “Charge-transfer inclusion complex formation of the tropylium cation with prism[6]arenes” Zhang, G.; Cheng, C.; Li, Z.; Zhao, D.; Han, C.*Organic & Biomolecular Chemistry, 2024, 22, 3611-3614. [3] “A facile and efficient preparation of prism[6]arene and its dual responsive complexation with 1-adamantane ammonium tetrakis[3,5-bis(trifluoromethyl)-phenyl]borate”Zhang, G.; Li, Z.; Pan, Z.; Zhao, D.; Han, C.*New Journal of Chemistry 2023, 47, 18910–18913. [4] “Host‐Guest Complexations Between Pillar[6]arenes and Neutral Pentaerythritol Derivatives” Han, C.*; Zhao, D.; Dong, S.* Chemistry – An Asian Journal 2020, 15, 2642–2645. [5] “Supramolecular control over LCST behavior of hybrid macrocyclic system based on pillar[5]arene and crown ether”Deng, Y.; Li, X.; Han, C.*; Dong, S.* Chinese Chemical Letters2020, 31, 3221–3224. [6] “LCST phase behavior of benzo-21-crown-7 with different alkyl chains” Deng, Y.; Li, X.; Zhang, Q.; Luo, Z.; Han, C.* and Dong, S.* Beilstein Journal of Organic Chemistry, 2019, 15, 437–444. [7] “Synthesis of a Difunctionalized Pillar[5]arene with Hydroxyl and Amino Groups at A1/A2 Positions”Han, C.*; Zhao, D.; Lv, Z.; Zhan, F.; Zhang, L.*; Dong, S.*; Jin, L.* European Journal of Organic Chemistry2019, 2508-2512. [8] “Preparation of cross-linked supramolecular polymers based on benzo-21-crown-7/secondary ammonium salt host–guest interactions” Li, X.; Wang, L.; Deng, Y.; Luo, Z.; Zhang, Q.; Dong, S.* and Han, C.*Chemical Communications 2018, 54, 12459–12462. [9] “Supramolecular control over pillararene-based LCST phase behaviour” Wang, L.; Li, X.; Zhang, Q.; Luo, Z.; Deng, Y.; Yang, W.; Dong, S.*; Wang, Q.* and Han, C.*New Journal of Chemistry2018, 42, 8330–8333. [10] “Three-dimensional supramolecular polymerization based on pillar[n]arenes (n = 5, 6) and halogen bonding interactions” Han, C.*; Zhao, D. and Dong, S.* Chemical Communications 2018, 54, 13099–13102. [11] “Effective binding of neutral dinitriles by pillar[4]arene[1]quinone both in solution and in solid state” Han, C.*; Zhao, D.; Li, H.; Wang, H.; Huang, X. and Sun, D.* ChemistrySelect 2018, 3, 11–14. [12]“Mild synthesis of pillar[4]arene[1]cis-diepoxy-p-dione and guest-assisted formation of a 2D network in the solid state” Han, C.*; Dong, S.; Zhao, D. and Sun, D.* European Journal of Organic Chemistry 2017, 6629–6632. [13] “Stereoselective synthesis of pillar[4]arene[1]cis-diepoxy-p-dione and X-ray crystal structure of host–guest system” Han, C.*; Zhao, D.; Li, T. and Sun, D.* Chemistry—An Asian Journal2017, 12, 2354–2358. [14] “Proton Transfer in Host–Guest Complexation between a Difunctional Pillar[5]arene and Alkyldiamines”Yu, G.*; Hua, B.; Han, C.Organic Letters2014, 16, 2486-2489. 2013年及以前: [1] “Synthesis of a Difunctionalized Pillar[6]arene and Its Complexation with an Ammonium Salt Coupled to a Weakly Coordinating Counteranion”Han, C.; Gao, L.; Yu, G.; Zhang, Z.; Dong, S.; Huang, F.* Eur. J. Org. Chem.2013, 2529–2532. [2] “A pillar[5]arene-based anion responsive supramolecular polymer”Han, C.; Xia, B.; Chen, J.; Yu, G.; Zhang, Z.; Dong, S.; Hu, B.; Yu, Y.; Xue, M.* RSC Adv., 2013, 3, 16089-16094. [3] “Syntheses of a pillar[4]arene[1]quinone and a difunctionalized pillar[5]arene by partial oxidation”Han, C.; Zhang, Z.; Yu, G.; Huang, F.* Chem. Commun.2012, 48, 9876–9878. [4] “Synthesis of 1,4-bis(n-propoxy)pillar[7]arene and its host–guest chemistry”Han, C.; Zhang, Z.; Chi, X.; Zhang M.; Yu G.; Huang, F.* Acta Chim. Sinica2012, 70, 1775–1778 (in Chinese). [5] “Complexation between Pillar[5]arenes and a Secondary Ammonium Salt”Han, C.; Yu, G.; Zheng, B.; Huang, F.* Org. Lett.2012, 14, 1712–1715. [6] “DIBPillar[n]arenes (n = 5, 6): Syntheses, X-Ray Crystal Structures, and Complexation with n-Octyltriethyl Ammonium Hexafluorophosphate”Han, C.; Ma, F.; Zhang, Z.; Xia, B.; Yu, Y.; Huang, F.*Org. Lett.2010, 12, 4360–4363. [7] “Formation of a pillar[5]arene-based [3]pseudorotaxane in solution and in the solid state”Gao, L.; Han, C.; Zheng, B.; Dong, S.; Huang, F.* Chem. Commun. 2013, 49, 472–474. [8] “A Solvent-Driven Molecular Spring”Zhang, Z.;Han, C.; Yu, G.; Huang, F.* Chem. Sci.2012, 3, 3026–3031. [9] “Preparation of Two New [2]Rotaxanes Based on the Pillar[5]arene/Alkane Recognition Motif”Dong, S.;Han, C.; Zheng, B.; Zhang, M.; Huang, F.* Tetrahedron. Lett.2012, 53, 3668–3671. [10] “Pillar[6]arene-Based Photo-Responsive Host–Guest Complexation”Yu, G.; Han, C.; Zhang, Z.; Chen, J.; Yan, X.; Zheng, B.; Liu, S.;* Huang, F.* J. Am. Chem. Soc.2012, 134, 8711–8717. [11] “A novel pH-responsive supramolecular polymer constructed by pillar[5]arene-based host–guest interactions”Xia, B.; Zheng, B.; Han, C.; Dong, S.; Zhang, M.; Hu, B.; Yu, Y.; Huang, F.*Polym. Chem., 2013, 4, 2019–2024. [12] “A non-symmetric pillar[5]arene-based selective anion receptor for fluoride”Yu, G.; Zhang, Z.; Han, C.; Xue, M.; Zhou, Q.;* Huang, F.* Chem. Commun. 2012, 48, 2958–2960. [13] “Formation of a Cyclic Dimer Containing Two Mirror Image Monomers in the Solid State Controlled by van der Waals Forces”Zhang, Z.; Yu, G.; Han, C.; Liu, J.; Ding, X.; Yu, Y.; Huang, F.* Org. Lett.2011, 13, 4818–4821. [14] “Syntheses of Copillar[5]arenes by Co-oligomerization of Different Monomers”Zhang, Z.; Xia, B.; Han, C.; Yu, Y.; Huang, F.*Org. Lett. 2010, 12, 3285–3287. [15] “Preparation of Pillar[n]arenes (n = 5 or 6) by Cyclooligomerization of 2,5-Dialkoxybenzyl Alcohols or 2,5-Dialkoxybenzyl Bromides”Ma, Y.; Zhang, Z.; Ji, X.; Han, C.; He, J.; Zeper, A.; Chen, W.; Huang, F.* Eur. J. Org. Chem. 2011, 5331–5335. [16] “Four constitutional isomers of BMpillar[5]arene: synthesis, crystal structures and complexation with n-octyltrimethyl ammonium hexafluorophosphate.”Zhang, Z.; Luo, Y.; Xia, B.; Han, C.; Yu, Y.; Chen, X.; Huang, F.*Chem. Commun. 2011, 47, 2417–2419. [17] “Pillar[6]arene/Paraquat Molecular Recognition in Water: High Binding Strength, pH-Responsiveness, and Application in Controllable Self-Assembly, Controlled Release, and Treatment of Paraquat Poisoning”Yu, G.; Zhou, X.; Zhang, Z.; Han, C.; Mao, Z.; Gao, C.; Huang, F.* J. Am. Chem. Soc.2012, 134, 19489–19497. [18] “A Cationic Water-Soluble Pillar[5]arene: Synthesis and Host–Guest Complexation with Sodium 1-Octanesulfonate”Ma, Y.; Ji, X.; Xiang, F.; Chi, X.; Han, C.; He, J.; Abliz, Z.; Chen, W.; Huang, F.* Chem. Commun.2011, 47, 12340–12342. [19] “A Water-Soluble Pillar[6]arene: Synthesis, Host–Guest Chemistry and Its Application in Dispersion of Multi-Walled Carbon Nanotubes in Water”Yu, G.; Xue, M.; Zhang, Z.; Li, J.; Han, C.; Huang, F.* J. Am. Chem. Soc.2012, 134, 13248–13251. [20] “Dual-responsive crown ether-based supramolecular chain extended polymers”Chen, J.; Yan, X.; Chi, X.; Wu, X.; Zhang, M.; Han, C.; Hu, B.; Yu, Y.; Huang, F.*Polym. Chem., 2012, 3, 3175–3179. 2.专利 无。 | ||||||
◎代表性著作 | ||||||
无。 | ||||||
◎获奖情况及荣誉称号 | ||||||
无。 | ||||||
◎执教课程 | ||||||
本科生:《高分子化学》《有机化学实验》 研究生:《高等有机合成》 | ||||||
◎招收及指导研究生情况 | ||||||
1.指导研究生情况 指导学术研究生4名。 2.典型学生: 无。
3.招生专业及要求 有机化学;有机合成。 | ||||||
◎学术兼职 | ||||||
无。 | ||||||
| ||||||








